Lompat ke konten Lompat ke sidebar Lompat ke footer

Rpp Ktsp Ips Kelas 3 : Rpp Ips Sd Kelas 3 Kami - Puisi cinta untuk kekasih (harapan cinta dunia akh.

rpp ips kelas 3 sd semester 2 tentang jual beli. Berikut ini adalah contoh contoh pelajaran kelas 3 sd semester 1 ajaran 2020 yang bisa digunakan untuk melengkapi administarsi guru yang dapat di unduh secara gratis dengan menekan tombol download. Ini msh bentuk ktsp bukan tematik k13. Guruzamannowid kali ini akan membagikan perangkat pembelajaran kurikulum 2013 berupa rencana. Perangkat pembelajaran bahasa sunda kelas 1 2 3 4 5 6 sd mi lengkap.

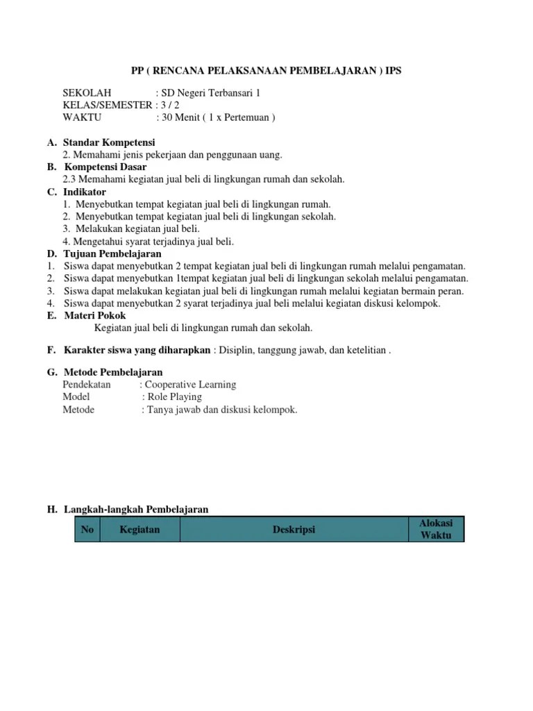
Kisi kisi soal uts sd kelas iii semester 1. Pdf Silabus Dan Rpp Ips Kelas 3 Smt 1 Masnurul
Pdf Silabus Dan Rpp Ips Kelas 3 Smt 1 Masnurul from imgv2-2-f.scribdassets.com
Pendidikan jasmani olah raga dan kesehatan kelas 1, kelas 2, kelas 3, kelas 4, kelas 5, kelas 6 update. ktsp, rpp, silabus bahasa inggris kelas 1, kelas 2, kelas 3, kelas 4, kelas 5, kelas 6 update. rpp ips kelas 3 semester 1 mengenai lingkungan alam dan buatan 23.04 (diposting oleh unknown) rencana pelaksanan pembelajaran ips ( rpp ips) pendidikan ips. Silabus dan rpp ktsp smk matematika (english version) Download pemetaan sk dan kd sd/mi tematik kelas 3. Silabus dan rpp ktsp smk pai. ktsp rpp sd ips kelas 1, kelas 2, kelas 3, kelas 4, kelas 5, kelas 6, silabus kelas 1,2,3 update. rpp kelas 1 semester 1 dan 2.

Demikian pembahasan tentang rpp seni budaya kelas 8.

kelas 6, sudah lengkap dengan silabus, rpp, prota, promes, kkm, kikd dan lainnya. Tkj (teknik komputer dan jaringan) 1. Silabus dan rpp ktsp smk pai. Download panduan pembelajaran tematik kelas 3. Silabus dan rpp ktsp smk kewirausahaan. 3 (ayo, selamatkan hewan dan tumbuhan) menerima, menjalankan, dan menghargai ajaran agama yang dianutnya. Contoh rpp ktsp 2006 berbagai mapel sd/ mi kelas 4, 5, 6 semester 1 dan semester 2. Mengidentifikasi cara orang memenuhi kebutuhannya. rpp pkn kelas 4 sd semester 1; Dimana kini pada kurikulum pembelajaran k13 berlandaskan pada pendekatan kognitif, afektif serta psikomotor, baik itu rpp untuk semester 1 maupun 2. Ini msh bentuk ktsp bukan tematik k13. Pdf rpp ips kelas 4 sd potensi daerah dan kegiatan ekonomi rachmah safitri academia edu. Sebelum membuat rpp jenis ini perhatikan dahulu apakah pembelajaran dilakukan secara online atau tatap muka secara langsung.

Resep mudah membuat pisang chocho untuk pemula; Hal ini karena penulis adalah seorang manusia yang tidak luput dari dosa dan masih dalam proses belajar. rpp kelas 3 semester 1. Tkj (teknik komputer dan jaringan) 1. 2012 (9) januari (9) 2011 (7) september (7)

Bab 3 operasi hitung perkalian dan pembagian perkalian merupakan bentuk penjumlahan berulang. Rpp Ktsp Bahasa Arab Mi Kelas 3
Rpp Ktsp Bahasa Arab Mi Kelas 3 from imgv2-1-f.scribdassets.com
Perangkat pembelajaran bahasa sunda kelas 1 2 3 4 5 6 sd mi lengkap. rpp ips kelas 3 semester 1 mengenai lingkungan alam dan buatan 23.04 (diposting oleh unknown) rencana pelaksanan pembelajaran ips ( rpp ips) pendidikan ips. rpp dan silabus ips kelas 3 sd kurikulum ktsp. ktsp rpp sd ips kelas 1, kelas 2, kelas 3, kelas 4, kelas 5, kelas 6, silabus kelas 1,2,3 update. rpp kelas 1 semester 1 dan 2. Cd rpp sekolah dasar keluaran anyar sudah pakai anjuran menteri sesuai dg permendikbud teranyar dgn format 1 lembar untuk kelas i, kelas ii, kelas 3, kelas iv, kelas v, & Download mapel tematik sk kd tematik kelas 3 download pemetaan sk kd tematik kelas 3 download silabus tematik kelas 3 download rpp tematik kelas 3 download rpp dan silabus sd kelas 4 ktsp mapel b. Silabus pkn sd kelas 3 ktsp.

Ok langsung saja di bawah ini tentang rpp dan silabus smp kelas vii, viii, dan ix ktsp.

6 (enam) / 1 (satu) tema : rpp kelas 3 semester 1. Demikian pembahasan tentang rpp seni budaya kelas 8. rpp ips kelas 3 semester 1 mengenai lingkungan alam dan buatan 23.04 (diposting oleh unknown) rencana pelaksanan pembelajaran ips ( rpp ips) pendidikan ips. 3 (ayo, selamatkan hewan dan tumbuhan) menerima, menjalankan, dan menghargai ajaran agama yang dianutnya. Silabus dan rpp ktsp smk kewirausahaan. Fakultas keguruan dan ilmu pendidikan. ktsp, rpp, silabus pelajaran ipa untuk sd kelas 3 untuk ambil data download disini posted on wednesday, december 03, 2008 by monsterad paramoly and filed under kelas 3 sd , ktsp , rpp , sd , silabus | 0 comments » ktsp rpp sd ips kelas 1, kelas 2, kelas 3, kelas 4, kelas 5, kelas 6, silabus kelas 1,2,3 update. Pada kelas rendah, yaitu kelas 1, 2, dan 3 menggunakan rpp tematik. rpp ips kelas iv ktsp.doc. 1 (selamatkan makhluk hidup) subtema : rpp kelas 1 semester 1 dan 2.

rpp kelas 1 sd semester 1 ktsp gunakan tombol download yang tersedia kemudian buka link download yang muncul berikut ini adalah contoh rpp kelas 1 sd semester 1 ktsp yang bisa digunakan untuk melengkapi administarsi guru yang dapat di unduh secara gratis dengan menekan tombol download. Pada kelas rendah, yaitu kelas 1, 2, dan 3 menggunakan rpp tematik. Martinus cahya widhi sadewa 121134021. rpp 1 lembar pend agama. Silabus rpp kelas 3 sd/mi kurikulum ktsp 2006 lengkap prota promes.

Download prota tematik sd/mi kelas 3. Rpp Kelas 5 Sd Ips Info Gtk
Rpp Kelas 5 Sd Ips Info Gtk from tse1.mm.bing.net
Contoh rpp dan silabus ktsp 2006 berkarakter sd kelas 4, 5, 6 lengkap. Fakultas keguruan dan ilmu pendidikan. Silabus rpp kelas 3 sd/mi kurikulum ktsp 2006 lengkap prota promes. Martinus cahya widhi sadewa 121134021. rpp kelas 3 kurikulum ktsp by aprileo1923 on desember 25 2016 berikut kami sajikan rpp kelas 3 ktsp sd untuk preview klik tanda panah di bagian kanan atas bidang kotak dibawah ini untuk download silahkan klik link dibawah ini. Silabus dan rpp ktsp smk ips. 3 x 50 = …. Pada kelas rendah, yaitu kelas 1, 2, dan 3 menggunakan rpp tematik.

Naskah pidato keterbukaan dan kejujuran maret (6) 2013 (1) maret (1)

Silabus dan rpp ktsp smk kewirausahaan. Download jaring tematik sd/mi kelas 3. Pendidikan jasmani olah raga dan kesehatan kelas 1, kelas 2, kelas 3, kelas 4, kelas 5, kelas 6 update. Demikian pembahasan tentang rpp seni budaya kelas 8. Perangkat pembelajaran bahasa sunda kelas 1 2 3 4 5 6 sd mi lengkap. rpp ips kelas iv ktsp.doc. rpp ips kelas 6 semester 1 tema 1 subtema 3 pembelajaran 1. rpp ips kelas 3 sd semester 2; Guruzamannowid kali ini akan membagikan perangkat pembelajaran kurikulum 2013 berupa rencana. Berikut kumpulan contoh rpp guru sd, smp, sma untuk mapel bahasa indonesia, ipa, ips, matematika, pkn, sbk dan tematik. Download rpp ktsp matematika kelas 4,5 dan 6 sd klik di sini. ktsp, rpp, silabus pelajaran ipa untuk sd kelas 3 untuk ambil data download disini posted on wednesday, december 03, 2008 by monsterad paramoly and filed under kelas 3 sd , ktsp , rpp , sd , silabus | 0 comments » 6 (enam) / 1 (satu) tema :

Rpp Ktsp Ips Kelas 3 : Rpp Ips Sd Kelas 3 Kami - Puisi cinta untuk kekasih (harapan cinta dunia akh.. Kaset perangkat pembelajaran sd, smp, sma, smk edisi teranyar sudah menggunakan anjuran menteri sesuai dg permendikbud anyar dengan format 1 lembar untuk 2 semester, sudah lengkap dengan silabus, rpp, prota, promes, kkm, kikd dan sebagainya Silabus dan rpp ktsp smk kewirausahaan. rpp ips kelas iii sd rencana pelaksanaan pembelajaran satuan pendidikan : rpp ips 9 revisi 2020 7. rpp ips kelas 3 semester 1 mengenai lingkungan alam dan buatan 23.04 (diposting oleh unknown) rencana pelaksanan pembelajaran ips ( rpp ips) pendidikan ips.

Posting Komentar untuk "Rpp Ktsp Ips Kelas 3 : Rpp Ips Sd Kelas 3 Kami - Puisi cinta untuk kekasih (harapan cinta dunia akh."